Hi AI Futurists,
Today we’re looking at China’s version of ChatGPT, DeepSeek, which, with its latest release, received incredible reviews from the AI community. Using efficient architectures and innovative techniques, it achieves cutting-edge performance with lower computational costs. This approach is part of a broader Chinese open-source strategy, challenging closed-source giants and fostering global AI collaboration. Definitely a tool to keep an eye on if you’re wanting to stay up to date with the latest AI tools.
Here’s our agenda.
Venice AI
A deep dive China’s “DeepSeek.”
Top 3 selected AI tools
Top news on the AI horizon
Best,
Lex
Manage your settings: Share | Unsubscribe | Upgrade

We really like Venice — it is the private, independent version of AI tooling.
Experience the power of AI without sacrificing your data. Venice.ai is a private and uncensored platform that uncompromisingly delivers all of the modern features of AI with no data exploitation, no surveillance, and no bias.

How AI is Impacting the World
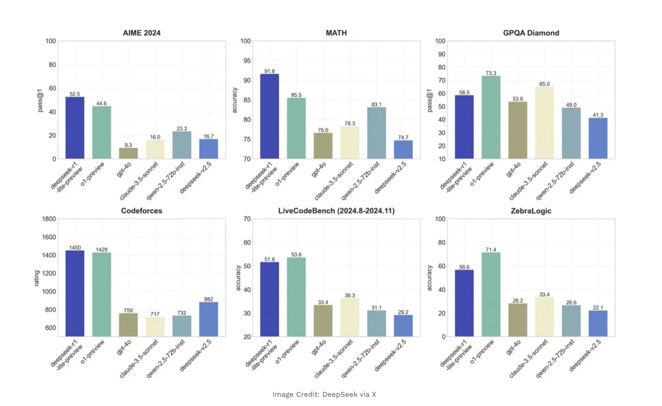
While the world was watching China’s TikTock, the latest version of DeepSeek AI is turning heads.
U.S. export controls on advanced semiconductors may have unintentionally spurred innovation in China’s AI sector. Companies like DeepSeek are now developing groundbreaking AI models with constrained hardware resources. DeepSeek’s latest release, the R1 model, employs techniques such as pure reinforcement learning and novel architectures like MLA (multi-head latent attention) and MoESparse (Mixture-of-Experts Sparse), dramatically reducing memory usage and computational costs. Despite its efficiency, R1 achieves competitive results on key benchmarks like mathematics and coding, matching or even outperforming OpenAI’s top models in some areas. The model is also fully open-source, allowing researchers worldwide to modify, replicate, and build on its design.
By pursuing an open-source strategy, Chinese companies like DeepSeek are increasing their global influence. Open-source AI models attract international talent, promote collaboration, and can shape global AI standards. This approach could embed China’s technology into global infrastructure, particularly in developing countries. Liang Wenfeng, DeepSeek’s founder, believes open-source development disrupts the closed-source dominance of companies like OpenAI. His vision aligns with broader efforts by Chinese tech firms, including Alibaba and Baidu, to release powerful open-source models at lower costs, challenging perceptions of China’s tech sector as imitative rather than innovative.
DeepSeek’s strategy has triggered an AI price war, drastically lowering costs for accessing advanced AI tools. This democratization could enable smaller organizations to use cutting-edge AI capabilities. If successful, China’s focus on open-source innovation could reshape the global AI landscape, altering power dynamics and fostering a more decentralized and inclusive ecosystem for technological development.
Key Points
Export controls on semiconductors pushed Chinese firms like DeepSeek to innovate with constrained resources.
DeepSeek-R1 employs memory-saving techniques like MLA and MoESparse while maintaining competitive performance.
The model’s open-source nature invites global collaboration, enhancing transparency and accessibility.
This has led to a price war, significantly reducing the cost of advanced AI tools.
China's open-source push could reshape global AI standards and power dynamics.
What We Think About It
DeepSeek’s success suggests that efficiency and openness might trump raw hardware power in the AI race. It also shifts perceptions of China’s tech sector as a hub of innovation rather than imitation. The competition between open-source and proprietary approaches could spark transformative advancements globally.
What You Can Do With This Right Now
Explore DeepSeek’s open-source models on GitHub for research, development, or cost-effective AI solutions.
Assess how open-source AI tools could lower costs or improve transparency in your projects.

Apply AI Superpowers with Tools
Chat with Any PDF and Ask AI Anything

Turn YouTube videos into AI-generated notes in seconds

Your first AI news & insights app


On the Horizon

What type of coverage would you like to see most?

That’s all for today, folks!
If you’re enjoying the newsletter, share with a friend by sending them this link: 👉 https://www.futureblueprint.xyz/subscribe
Looking for past newsletters? You can find them all here.
Working on a cool A.I. project that you would like us to write about? Reply to this email with details, we’d love to hear from you!



